Официальное опубликование правовых актов
ОФИЦИАЛЬНОЕ ОПУБЛИКОВАНИЕ
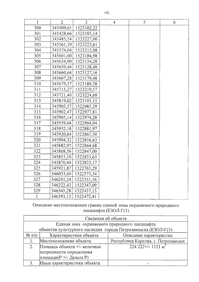
Постановление Правительства Республики Карелия от 21.05.2021 № 184-П
"Об установлении зон охраны объектов культурного наследия, расположенных на территории г. Петрозаводска, режимов использования земель в границах данных зон и утверждении требований к градостроительным регламентам в границах данных зон"
Номер опубликования: 1000202105210002
Дата опубликования: 21.05.2021
Страница №144 из 242:
Увеличить