Официальное опубликование правовых актов
ОФИЦИАЛЬНОЕ ОПУБЛИКОВАНИЕ
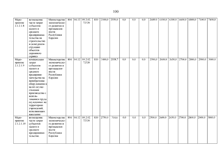
Постановление Правительства Республики Карелия от 30.04.2021 № 171-П
"О внесении изменений в постановление Правительства Республики Карелия от 3 марта 2014 года № 49-П"
Номер опубликования: 1000202105060011
Дата опубликования: 06.05.2021
Страница №100 из 130:
Увеличить