Официальное опубликование правовых актов
ОФИЦИАЛЬНОЕ ОПУБЛИКОВАНИЕ
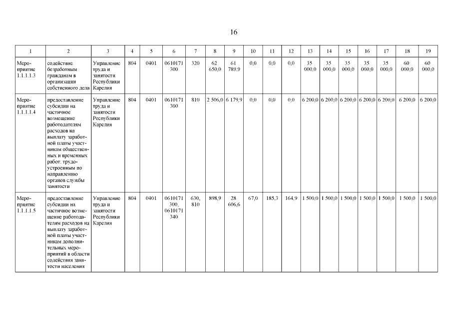
Постановление Правительства Республики Карелия от 23.04.2021 № 159-П
"О внесении изменений в постановление Правительства Республики Карелия от 13 декабря 2013 года № 361-П"
Номер опубликования: 1000202104270004
Дата опубликования: 27.04.2021
Страница №16 из 33:
Увеличить