Официальное опубликование правовых актов
ОФИЦИАЛЬНОЕ ОПУБЛИКОВАНИЕ
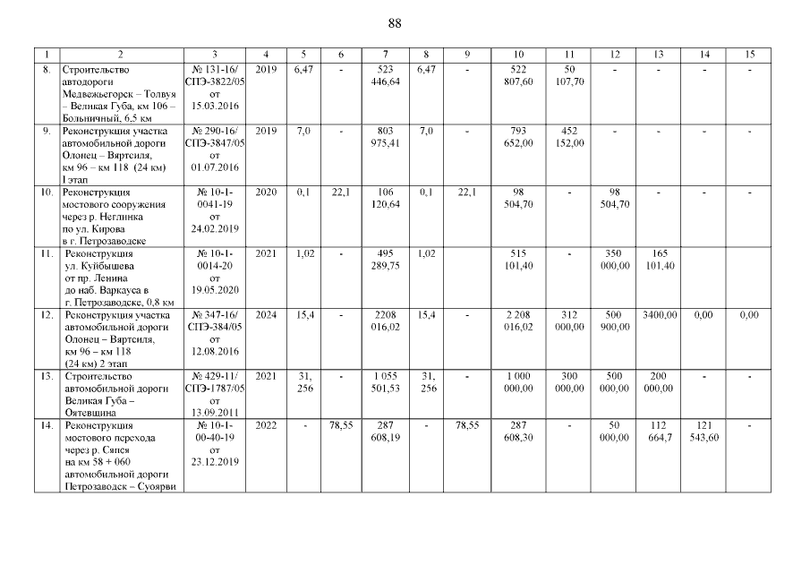
Постановление Правительства Республики Карелия от 25.03.2021 № 99-П
"О внесении изменений в постановление Правительства Республики Карелия от 20 июня 2014 года № 197-П"
Номер опубликования: 1000202103260008
Дата опубликования: 26.03.2021
Страница №88 из 90:
Увеличить