Официальное опубликование правовых актов
ОФИЦИАЛЬНОЕ ОПУБЛИКОВАНИЕ
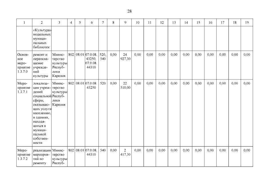
Постановление Правительства Республики Карелия от 10.09.2020 № 462-П
"О внесении изменений в постановление Правительства Республики Карелия от 30 августа 2014 года № 278-П"
Номер опубликования: 1000202009150002
Дата опубликования: 15.09.2020
Страница №28 из 50:
Увеличить