Официальное опубликование правовых актов
ОФИЦИАЛЬНОЕ ОПУБЛИКОВАНИЕ
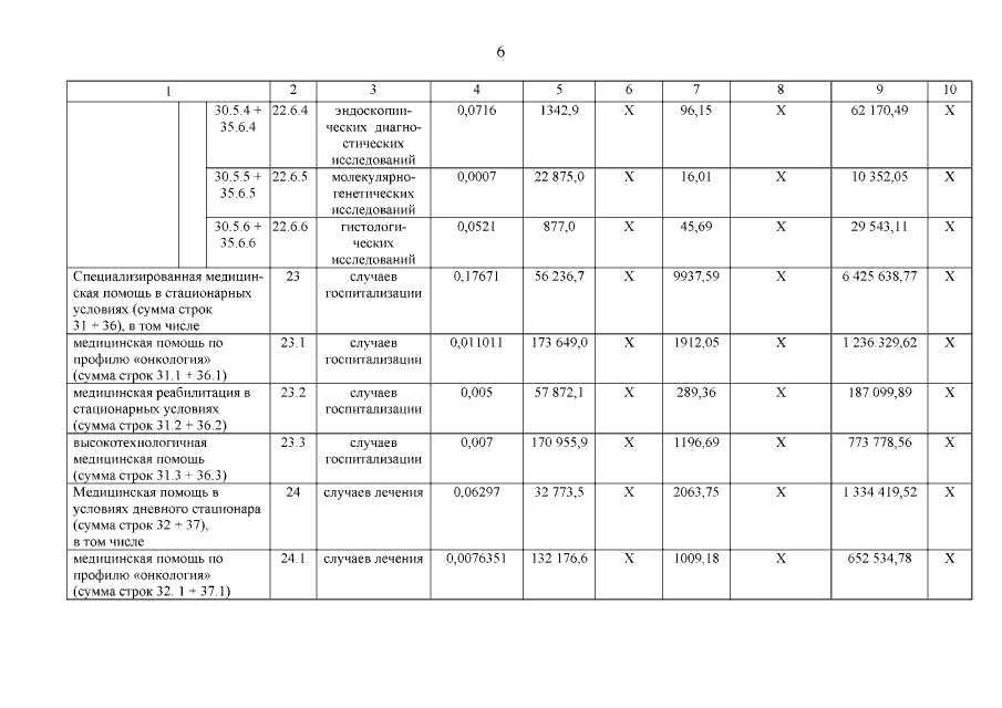
Постановление Правительства Республики Карелия от 20.02.2020 № 54-П
"О Территориальной программе государственных гарантий бесплатного оказания гражданам медицинской помощи в Республике Карелия на 2020 год и на плановый период 2021 и 2022 годов"
Номер опубликования: 1000202002260002
Дата опубликования: 26.02.2020
Страница №238 из 278:
Увеличить