Официальное опубликование правовых актов
ОФИЦИАЛЬНОЕ ОПУБЛИКОВАНИЕ
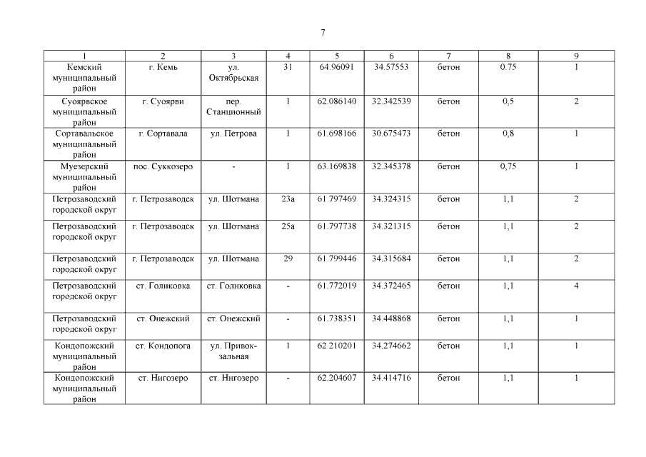
Постановление Правительства Республики Карелия от 23.12.2019 № 494-П
"Об утверждении территориальной схемы обращения с отходами в Республике Карелия"
Номер опубликования: 1000201912250002
Дата опубликования: 25.12.2019
Страница №99 из 189:
Увеличить