Официальное опубликование правовых актов
ОФИЦИАЛЬНОЕ ОПУБЛИКОВАНИЕ
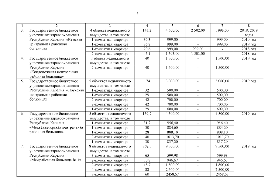
Постановление Правительства Республики Карелия от 17.12.2019 № 473-П
"О внесении изменения в постановление Правительства Республики Карелия от 14 декабря 2018 года № 461-П"
Номер опубликования: 1000201912180003
Дата опубликования: 18.12.2019
Страница №3 из 5:
Увеличить