Официальное опубликование правовых актов
ОФИЦИАЛЬНОЕ ОПУБЛИКОВАНИЕ
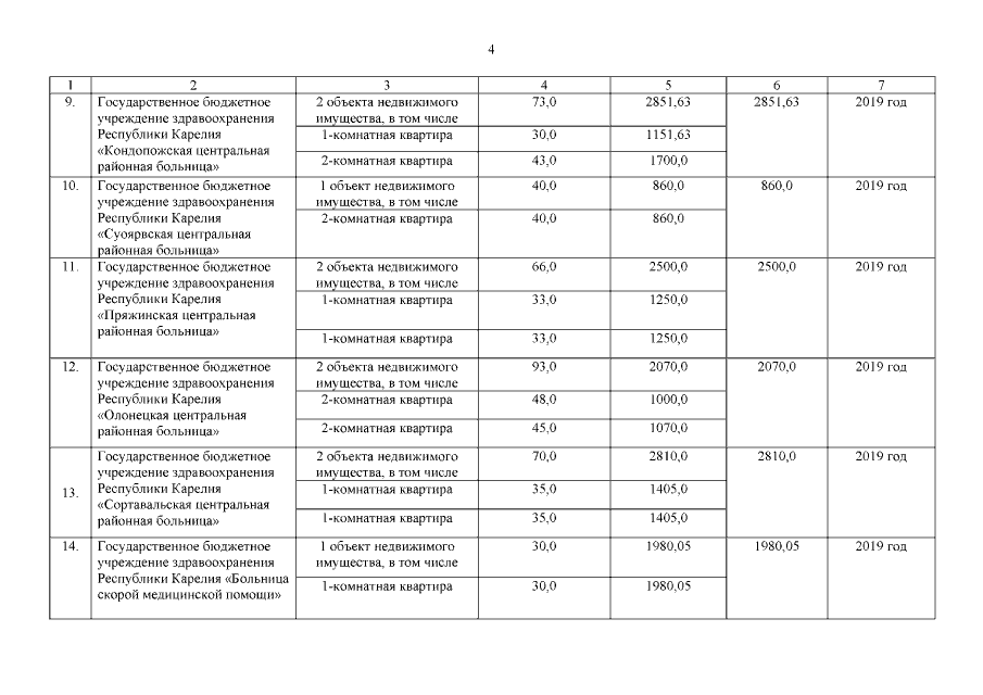
Постановление Правительства Республики Карелия от 13.12.2019 № 469-П
"О внесении изменения в постановление Правительства Республики Карелия от 28 июня 2019 года № 269-П"
Номер опубликования: 1000201912160003
Дата опубликования: 16.12.2019
Страница №4 из 5:
Увеличить