Официальное опубликование правовых актов
ОФИЦИАЛЬНОЕ ОПУБЛИКОВАНИЕ
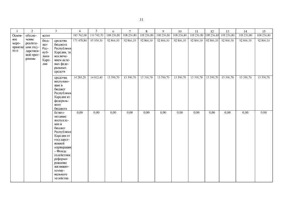
Постановление Правительства Республики Карелия от 06.12.2019 № 448-П
"О внесении изменений в постановление Правительства Республики Карелия от 30 августа 2014 года № 278-П"
Номер опубликования: 1000201912100001
Дата опубликования: 10.12.2019
Страница №31 из 36:
Увеличить