Официальное опубликование правовых актов
ОФИЦИАЛЬНОЕ ОПУБЛИКОВАНИЕ
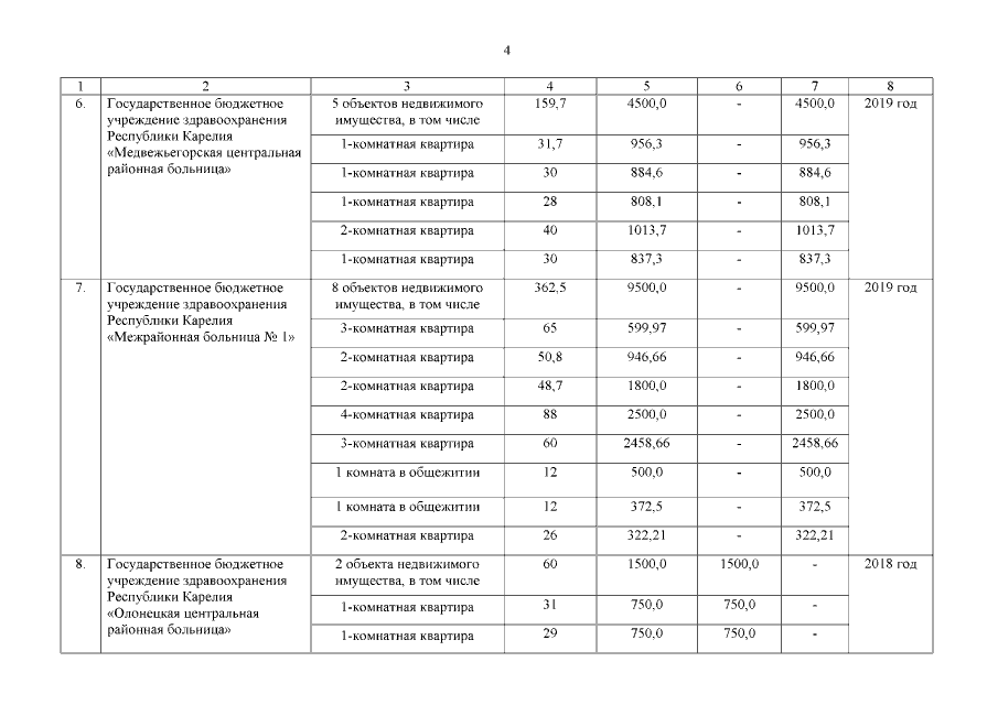
Постановление Правительства Республики Карелия от 08.10.2019 № 378-П
"О внесении изменения в постановление Правительства Республики Карелия от 14 декабря 2018 года № 461-П"
Номер опубликования: 1000201910100005
Дата опубликования: 10.10.2019
Страница №4 из 6:
Увеличить