Официальное опубликование правовых актов
ОФИЦИАЛЬНОЕ ОПУБЛИКОВАНИЕ
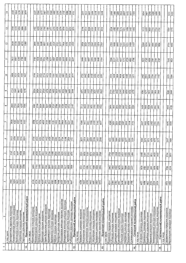
Постановление Правительства Республики Карелия от 15.07.2019 № 300-П
"О размерах регионального стандарта стоимости жилищно-коммунальных услуг на второе полугодие 2019 года – первое полугодие 2020 года по муниципальным образованиям в Республике Карелия"
Номер опубликования: 1000201907190004
Дата опубликования: 19.07.2019
Страница №4 из 5:
Увеличить