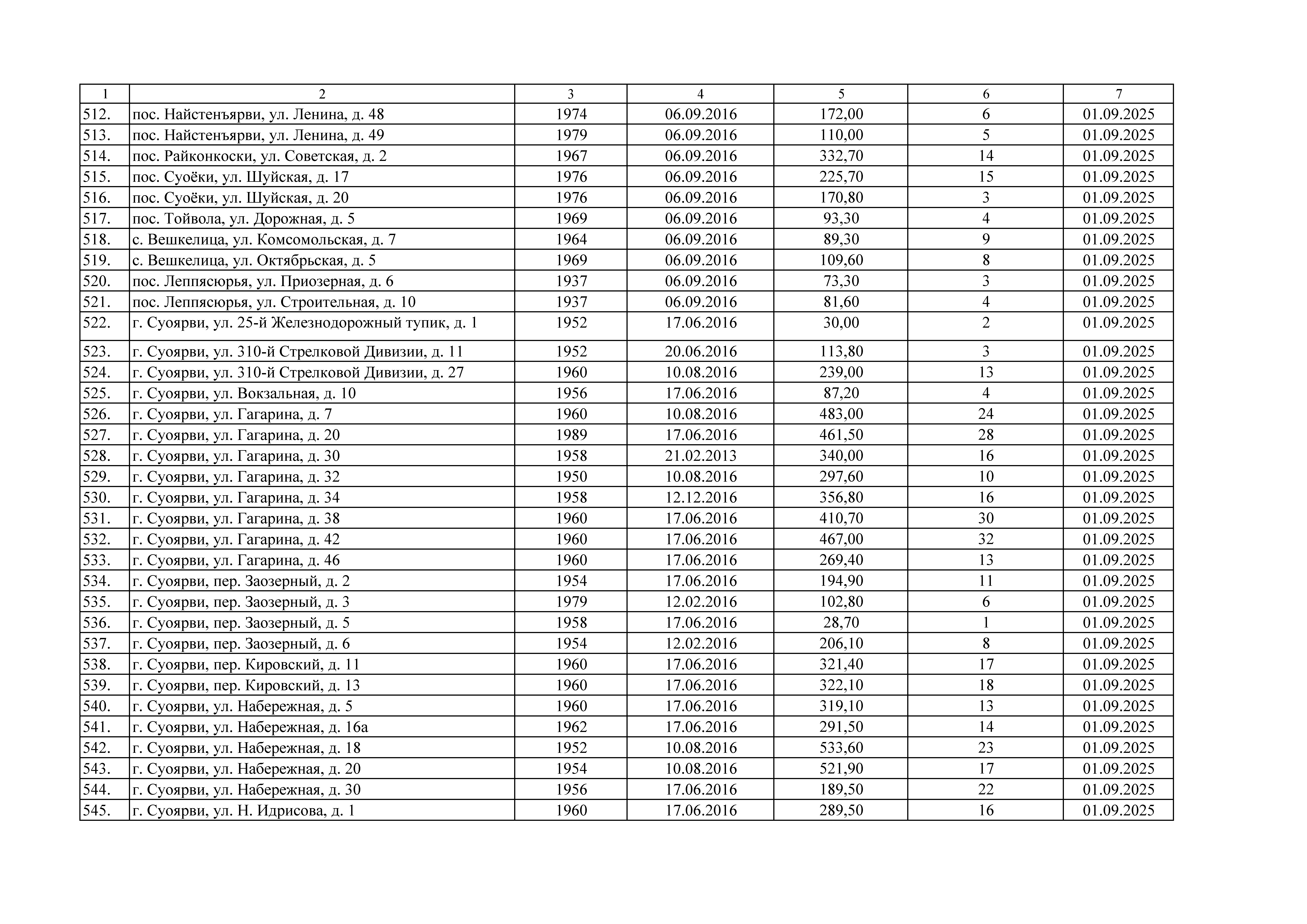
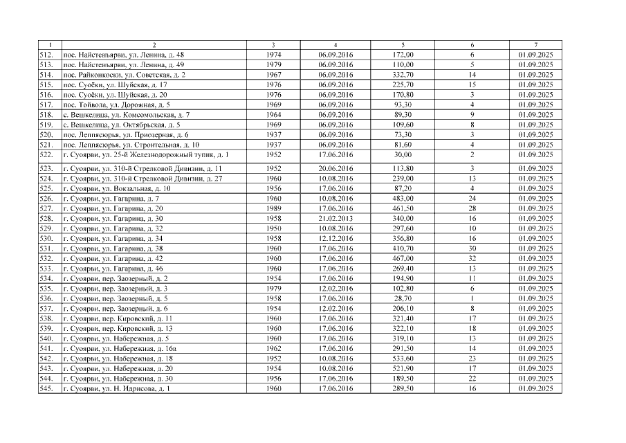
Официальное опубликование правовых актов
ОФИЦИАЛЬНОЕ ОПУБЛИКОВАНИЕ
Постановление Правительства Республики Карелия от 11.04.2019 № 149-П
"О внесении изменений в постановление Правительства Республики Карелия от 28 марта 2019 года № 136-П"
Номер опубликования: 1000201904150001
Дата опубликования: 15.04.2019
Страница №18 из 21: