Официальное опубликование правовых актов
ОФИЦИАЛЬНОЕ ОПУБЛИКОВАНИЕ
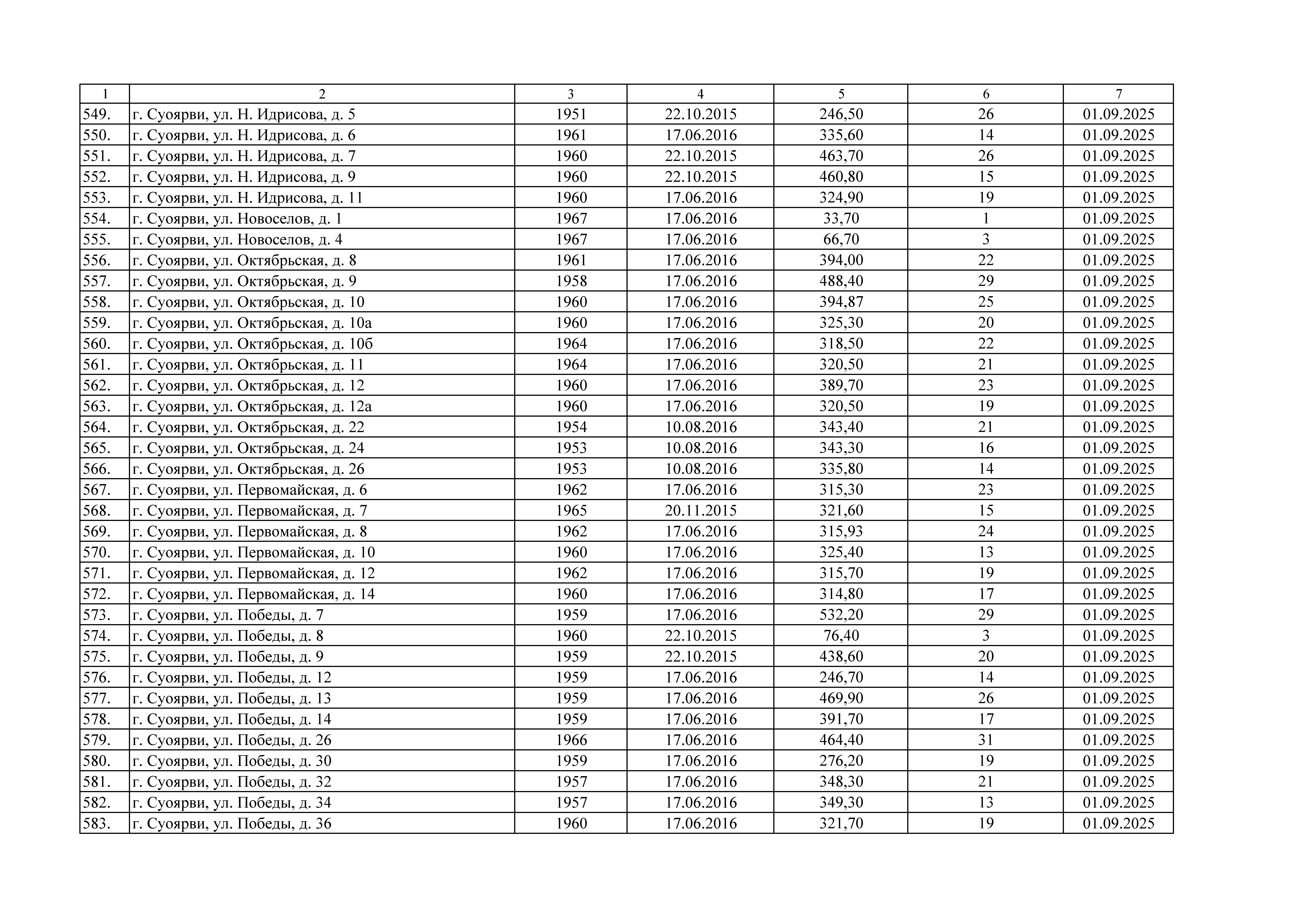
Постановление Правительства Республики Карелия от 28.03.2019 № 136-П
"О Региональной адресной программе по переселению граждан из аварийного жилищного фонда на 2019 – 2025 годы"
Номер опубликования: 1000201903290005
Дата опубликования: 29.03.2019
Страница №31 из 45: