Официальное опубликование правовых актов
ОФИЦИАЛЬНОЕ ОПУБЛИКОВАНИЕ
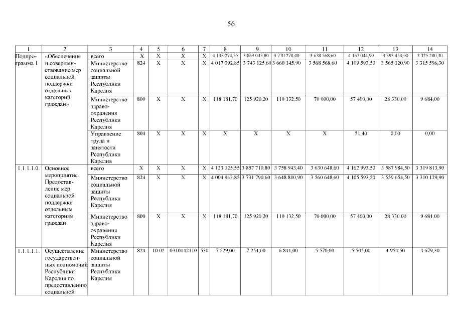
Постановление Правительства Республики Карелия от 06.07.2018 № 250-П
"О внесении изменения в постановление Правительства Республики Карелия от 2 июня 2014 года № 169-П"
Номер опубликования: 1000201807090002
Дата опубликования: 09.07.2018
Страница №56 из 114:
Увеличить