Официальное опубликование правовых актов
ОФИЦИАЛЬНОЕ ОПУБЛИКОВАНИЕ
Постановление Правительства Республики Карелия от 09.02.2018 № 40-П
"О внесении изменений в постановление Правительства Республики Карелия от 23 апреля 2014 года № 129-П"
Номер опубликования: 1000201802150004
Дата опубликования: 15.02.2018
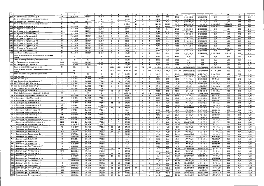
Страница №21 из 48:
Увеличить