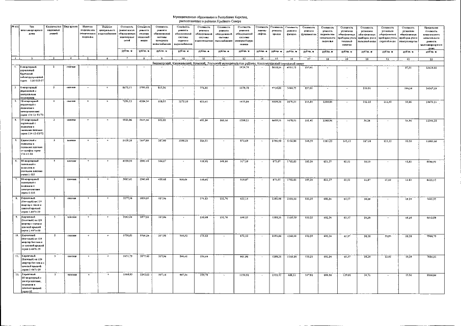
Постановление Правительства Республики Карелия от 28.12.2017 № 477-П
"Об установлении размера предельной стоимости услуг и (или) работ по капитальному ремонту общего имущества в многоквартирном доме"
"Об установлении размера предельной стоимости услуг и (или) работ по капитальному ремонту общего имущества в многоквартирном доме"
Номер опубликования: 1000201712290013
Дата опубликования:
29.12.2017
