Официальное опубликование правовых актов
ОФИЦИАЛЬНОЕ ОПУБЛИКОВАНИЕ
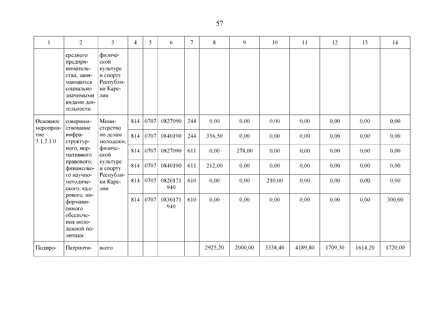
Постановление Правительства Республики Карелия от 28.04.2017 № 137-П
"О внесении изменений в постановление Правительства Республики Карелия от 17 июля 2014 года № 228-П"
Номер опубликования: 1000201705050001
Дата опубликования: 05.05.2017
Страница №57 из 167:
Увеличить