Официальное опубликование правовых актов
ОФИЦИАЛЬНОЕ ОПУБЛИКОВАНИЕ
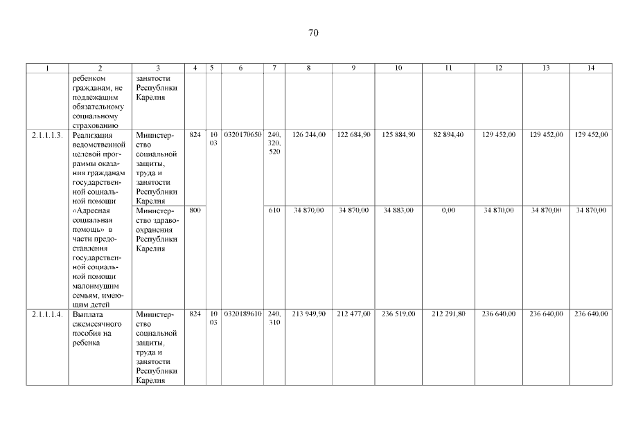
Постановление Правительства Республики Карелия от 05.09.2016 № 343-П
"О внесении изменений в постановление Правительства Республики Карелия от 2 июня 2014 года № 169-П"
Номер опубликования: 1000201609130001
Дата опубликования: 13.09.2016
Страница №70 из 102:
Увеличить