Официальное опубликование правовых актов
ОФИЦИАЛЬНОЕ ОПУБЛИКОВАНИЕ
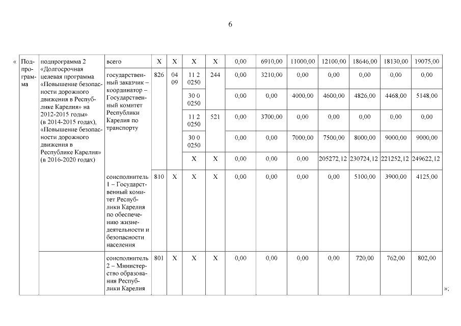
Постановление Правительства Республики Карелия от 10.05.2016 № 166-П
"О внесении изменений в постановление Правительства Республики Карелия от 20 июня 2014 года № 197-П"
Номер опубликования: 1000201605120002
Дата опубликования: 12.05.2016
Страница №7 из 10:
Увеличить