Официальное опубликование правовых актов
ОФИЦИАЛЬНОЕ ОПУБЛИКОВАНИЕ
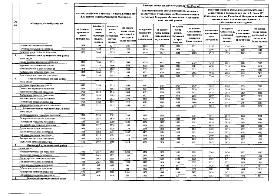
Постановление Правительства Республики Карелия от 15.02.2016 № 51-П
"О размерах регионального стандарта стоимости жилищно-коммунальных услуг на первое полугодие 2016 года по муниципальным образованиям в Республике Карелия"
Номер опубликования: 1000201602170007
Дата опубликования: 17.02.2016
Страница №3 из 5:
Увеличить