Официальное опубликование правовых актов
ОФИЦИАЛЬНОЕ ОПУБЛИКОВАНИЕ
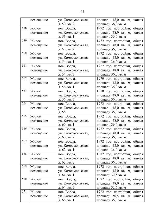
Постановление Правительства Республики Карелия от 24.12.2015 № 430-П
"О разграничении имущества, находящегося в муниципальной собственности Кубовского сельского поселения"
Номер опубликования: 1000201512280002
Дата опубликования: 28.12.2015
Страница №42 из 46:
Увеличить