Официальное опубликование правовых актов
ОФИЦИАЛЬНОЕ ОПУБЛИКОВАНИЕ
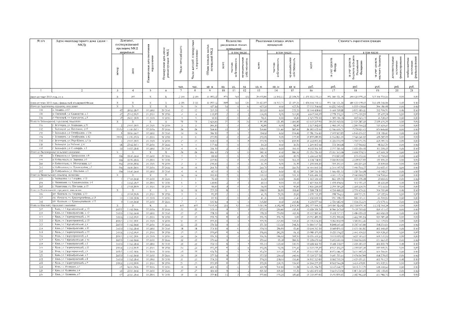
Постановление Правительства Республики Карелия от 02.12.2015 № 391-П
"О внесении изменений в постановление Правительства Республики Карелия от 23 апреля 2014 года № 129-П"
Номер опубликования: 1000201512040006
Дата опубликования: 04.12.2015
Страница №13 из 47:
Увеличить