Официальное опубликование правовых актов
ОФИЦИАЛЬНОЕ ОПУБЛИКОВАНИЕ
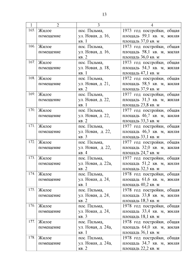
Постановление Правительства Республики Карелия от 28.10.2015 № 345-П
"О разграничении имущества, находящегося в муниципальной собственности Пяльмского сельского поселения"
Номер опубликования: 1000201510300004
Дата опубликования: 30.10.2015
Страница №14 из 47:
Увеличить