Официальное опубликование правовых актов
ОФИЦИАЛЬНОЕ ОПУБЛИКОВАНИЕ
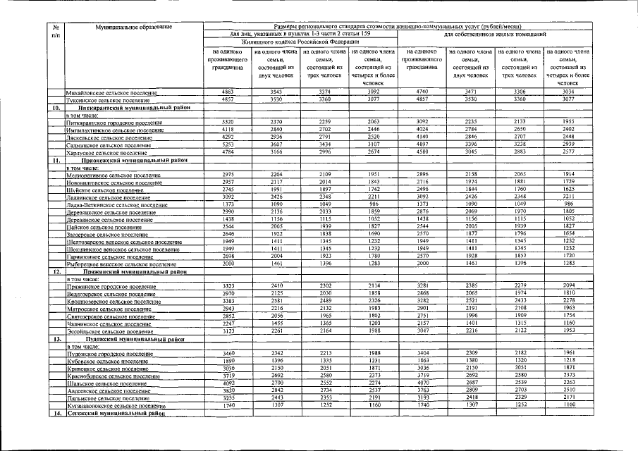
Постановление Правительства Республики Карелия от 24.03.2015 № 91-П
"О размерах регионального стандарта стоимости жилищно-коммунальных услуг на первое полугодие 2015 года по муниципальным образованиям в Республике Карелия"
Номер опубликования: 1000201503260007
Дата опубликования: 26.03.2015
Страница №4 из 5:
Увеличить