Официальное опубликование правовых актов
ОФИЦИАЛЬНОЕ ОПУБЛИКОВАНИЕ
Постановление Правительства Республики Карелия от 26.12.2014 № 416-П
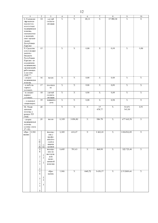
"О Территориальной программе государственных гарантий бесплатного оказания гражданам медицинской помощи в Республике Карелия на 2015 год и на плановый период 2016 и 2017 годов"
Номер опубликования: 1000201501040006
Дата опубликования: 04.01.2015
Страница №120 из 128:
Увеличить