Постановление Правительства Республики Карелия от 26.12.2014 № 410-П
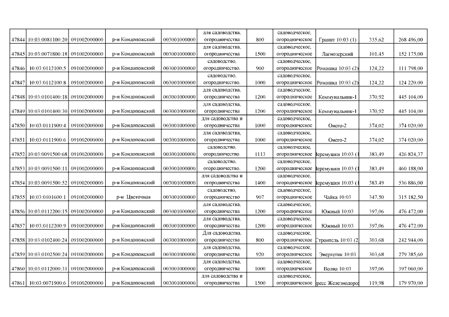
"Об утверждении результатов определения кадастровой стоимости земельных участков в составе земель садоводческих, огороднических и дачных объединений на территории Республики Карелия"
"Об утверждении результатов определения кадастровой стоимости земельных участков в составе земель садоводческих, огороднических и дачных объединений на территории Республики Карелия"
Номер опубликования: 1000201412310001
Дата опубликования:
31.12.2014
