Официальное опубликование правовых актов
ОФИЦИАЛЬНОЕ ОПУБЛИКОВАНИЕ
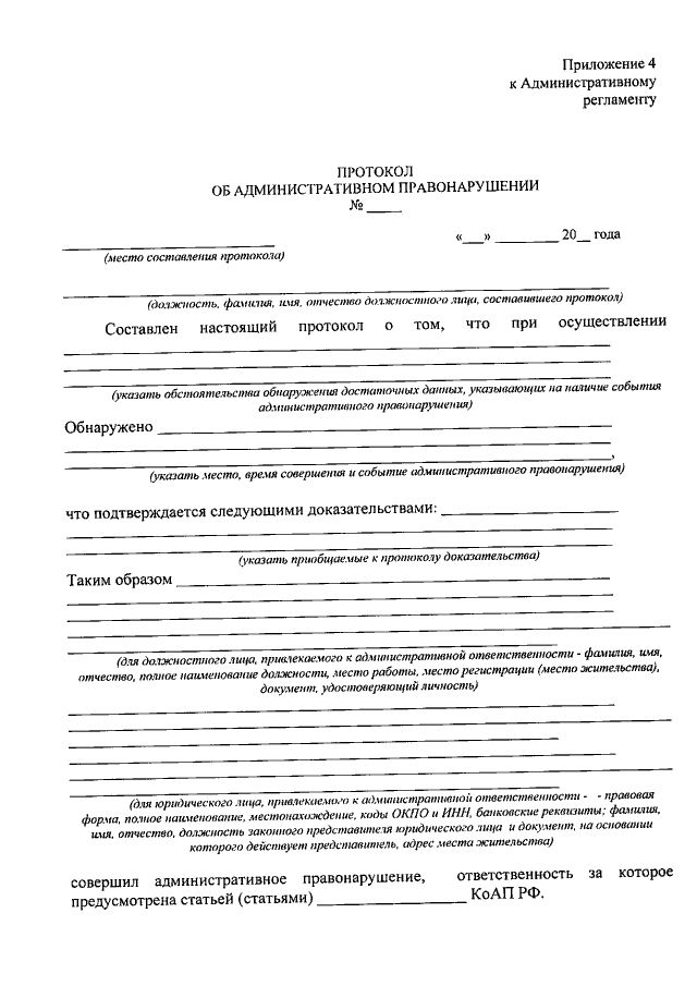
Приказ Министерства образования и науки Карачаево-Черкесской Республики от 12.05.2020 № 352
"Об утверждении административного регламента осуществления регионального государственного контроля за достоверностью, актуальностью и полнотой сведений об организациях отдыха детей и их оздоровления, содержащихся в реестре организаций отдыха детей и их оздоровления"
Номер опубликования: 0901202005140001
Дата опубликования: 14.05.2020
Страница №42 из 48:
Увеличить