Официальное опубликование правовых актов
ОФИЦИАЛЬНОЕ ОПУБЛИКОВАНИЕ
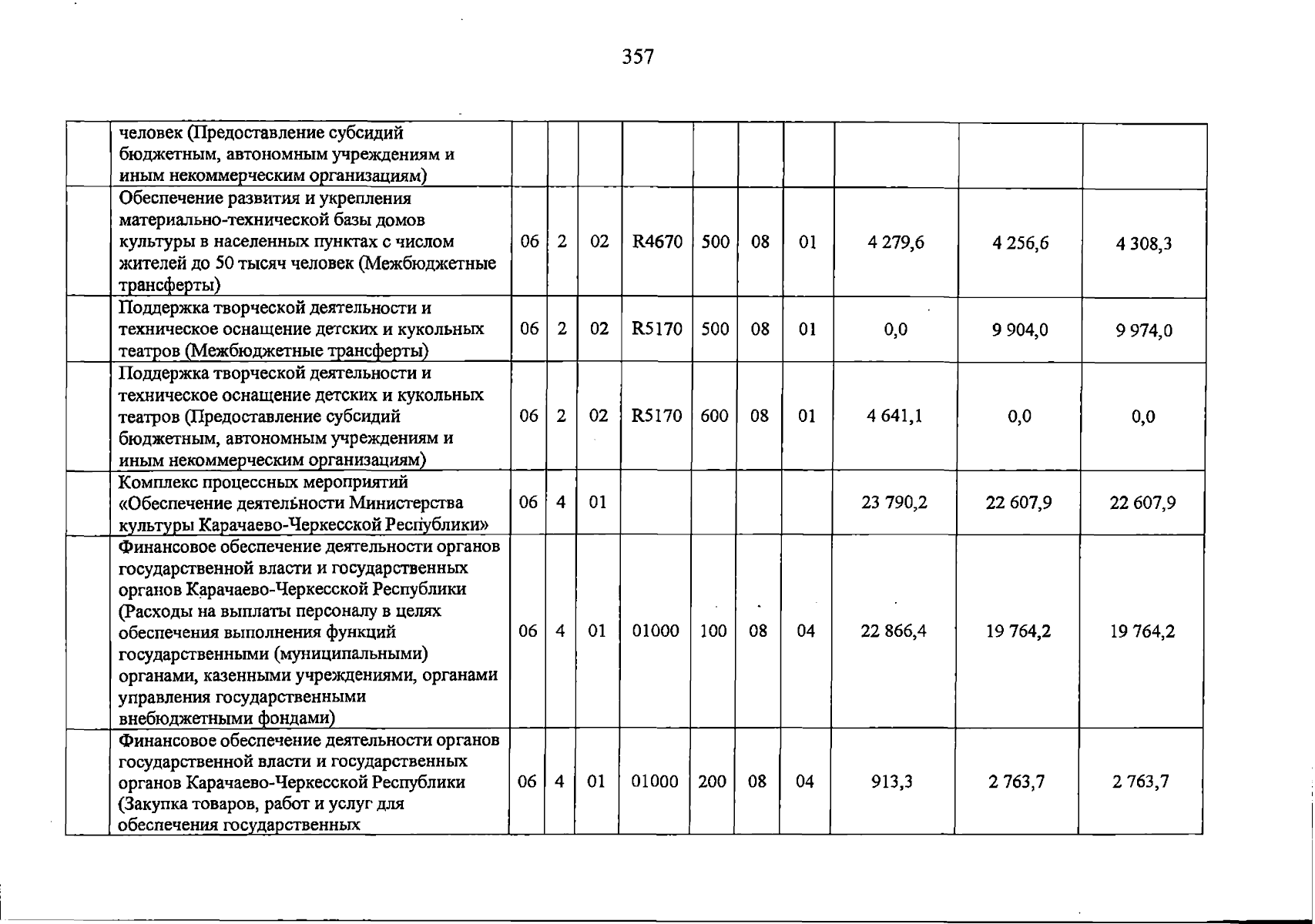
Закон Карачаево-Черкесской Республики от 23.12.2024 № 89-РЗ
"О внесении изменений в Закон Карачаево-Черкесской Республики "О республиканском бюджете Карачаево-Черкесской Республики на 2024 год и на плановый период 2025 и 2026 годов"
Номер опубликования: 0900202412240010
Дата опубликования: 24.12.2024
Страница №357 из 501:
Увеличить