Официальное опубликование правовых актов
ОФИЦИАЛЬНОЕ ОПУБЛИКОВАНИЕ
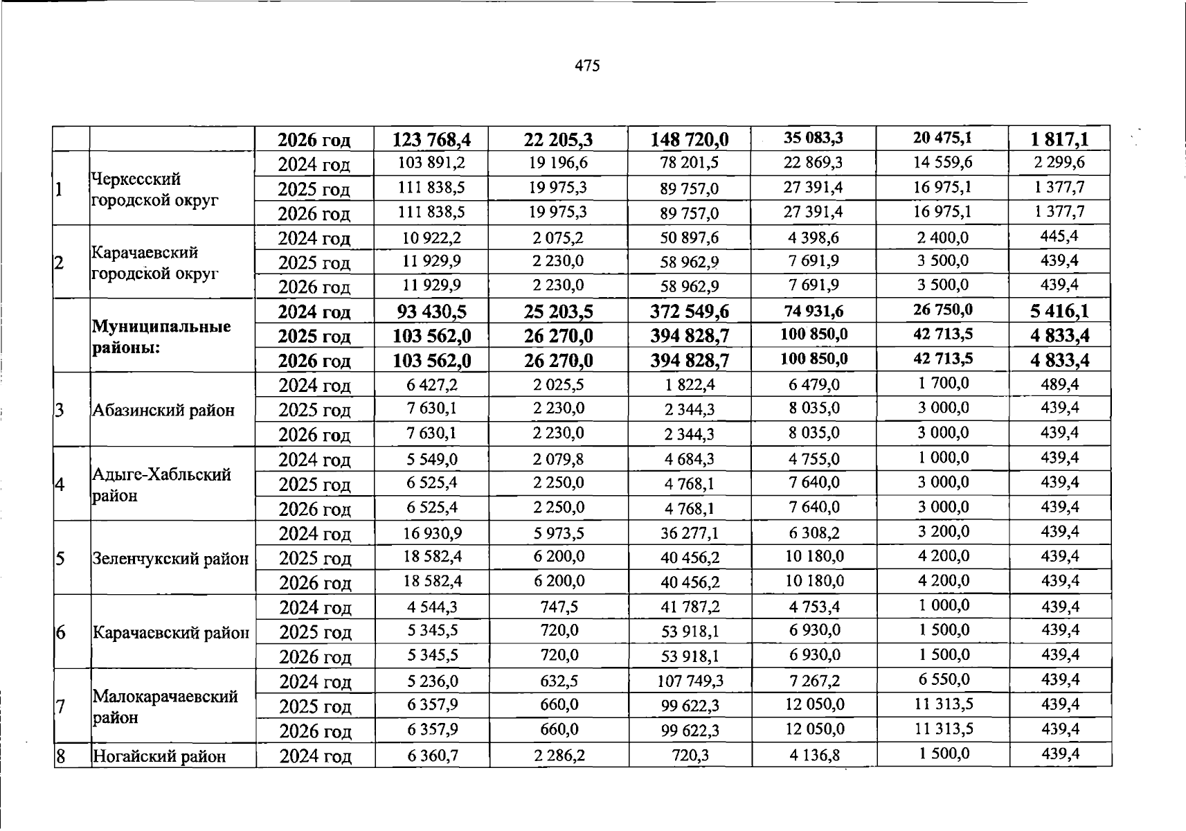
Закон Карачаево-Черкесской Республики от 21.11.2024 № 62-РЗ
"О внесении изменений в Закон Карачаево-Черкесской Республики "О республиканском бюджете Карачаево-Черкесской Республики на 2024 год и на плановый период 2025 и 2026 годов"
Номер опубликования: 0900202411250007
Дата опубликования: 25.11.2024
Страница №475 из 489:
Увеличить