Официальное опубликование правовых актов
ОФИЦИАЛЬНОЕ ОПУБЛИКОВАНИЕ
Постановление Правительства Карачаево-Черкесской Республики от 02.08.2023 № 213
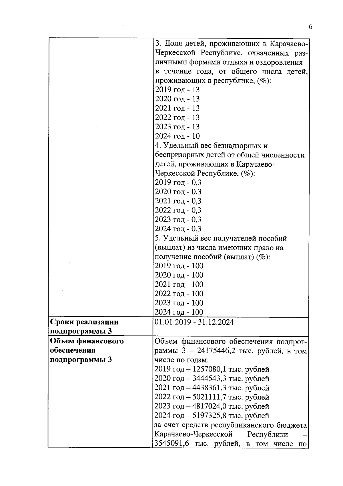
"О внесении изменений в постановление Правительства Карачаево-Черкесской Республики от 22.01.2019 № 27 " О государственной программе "Социальная защита населения в Карачаево-Черкесской Республике"
Номер опубликования: 0900202308110001
Дата опубликования: 11.08.2023
Страница №19 из 113:
Увеличить