Официальное опубликование правовых актов
ОФИЦИАЛЬНОЕ ОПУБЛИКОВАНИЕ
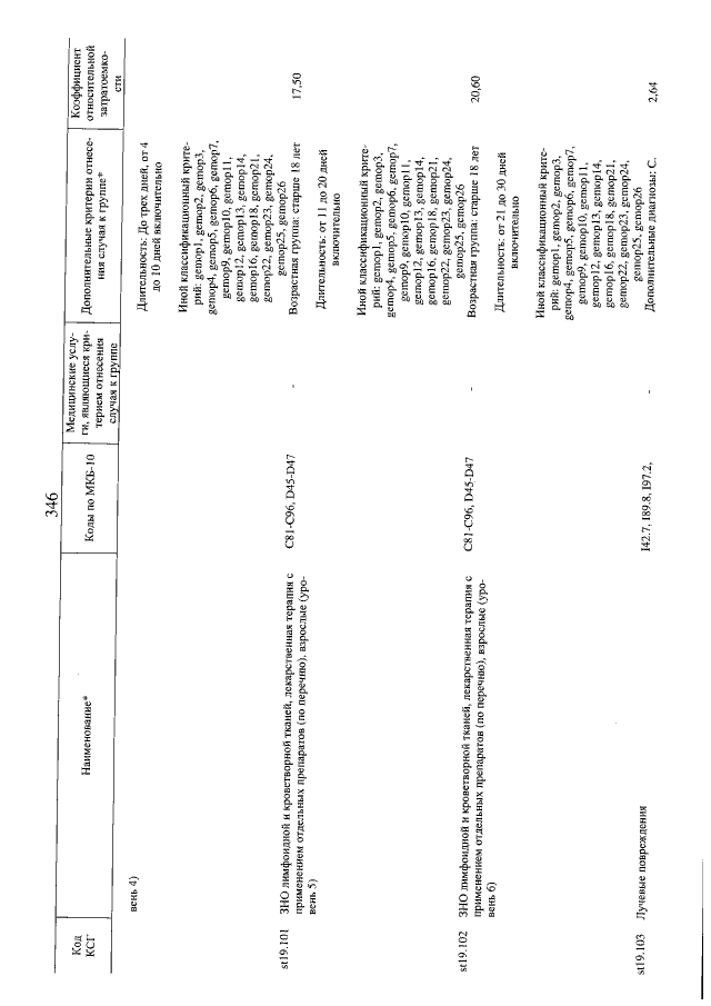
Постановление Правительства Карачаево-Черкесской Республики от 02.02.2023 № 8
"О Территориальной программе государственных гарантий бесплатного оказания гражданам медицинской помощи на 2023 год и на плановый период 2024 и 2025 годов в Карачаево-Черкесской Республике"
Номер опубликования: 0900202302100003
Дата опубликования: 10.02.2023
Страница №349 из 851:
Увеличить