Официальное опубликование правовых актов
ОФИЦИАЛЬНОЕ ОПУБЛИКОВАНИЕ
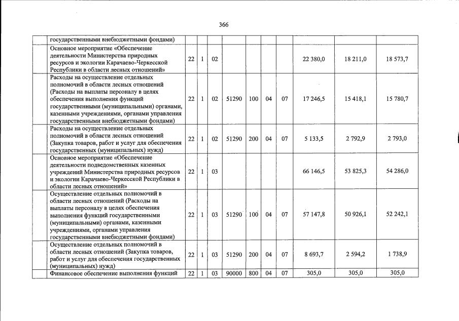
Закон Карачаево-Черкесской Республики от 28.12.2021 № 112-РЗ
"О республиканском бюджете на 2022 год и на плановый период 2023 и 2024 годов"
Номер опубликования: 0900202112290004
Дата опубликования: 29.12.2021
Страница №366 из 435:
Увеличить