Официальное опубликование правовых актов
ОФИЦИАЛЬНОЕ ОПУБЛИКОВАНИЕ
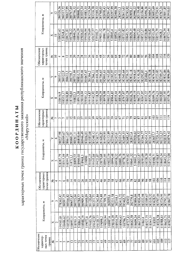
Постановление Президиума Правительства Карачаево-Черкесской Республики от 25.08.2021 № 104
"О внесении изменений в постановление Президиума Правительства Карачаево-Черкесской Республики от 16.06.2009 № 65 "О государственном заказнике республиканского значения "Марухский"
Номер опубликования: 0900202108270004
Дата опубликования: 27.08.2021
Страница №4 из 17:
Увеличить