Официальное опубликование правовых актов
ОФИЦИАЛЬНОЕ ОПУБЛИКОВАНИЕ
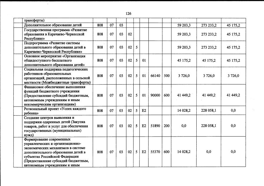
Закон Карачаево-Черкесской Республики от 24.06.2021 № 42-РЗ
"О внесении изменений в Закон Карачаево-Черкесской Республики "О республиканском бюджете Карачаево-Черкесской Республики на 2021 год и на плановый период 2022 и 2023 годов"
Номер опубликования: 0900202106290001
Дата опубликования: 29.06.2021
Страница №126 из 418:
Увеличить