Официальное опубликование правовых актов
ОФИЦИАЛЬНОЕ ОПУБЛИКОВАНИЕ
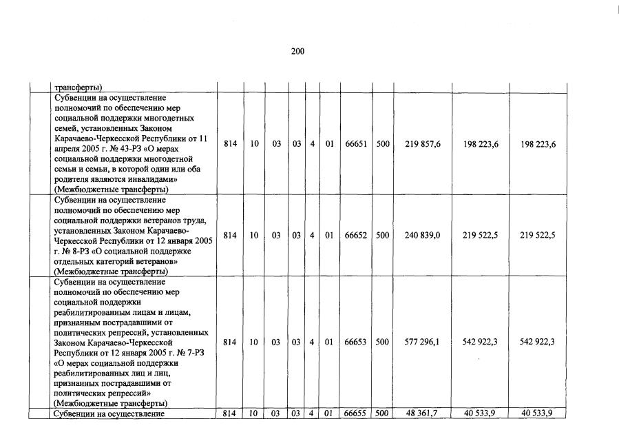
Закон Карачаево-Черкесской Республики от 15.06.2020 № 28-РЗ
"О внесении изменений в Закон Карачаево-Черкесской Республики "О республиканском бюджете Карачаево-Черкесской Республики на 2020 год и на плановый период 2021 и 2022 годов"
Номер опубликования: 0900202006190001
Дата опубликования: 19.06.2020
Страница №200 из 453:
Увеличить