Официальное опубликование правовых актов
ОФИЦИАЛЬНОЕ ОПУБЛИКОВАНИЕ
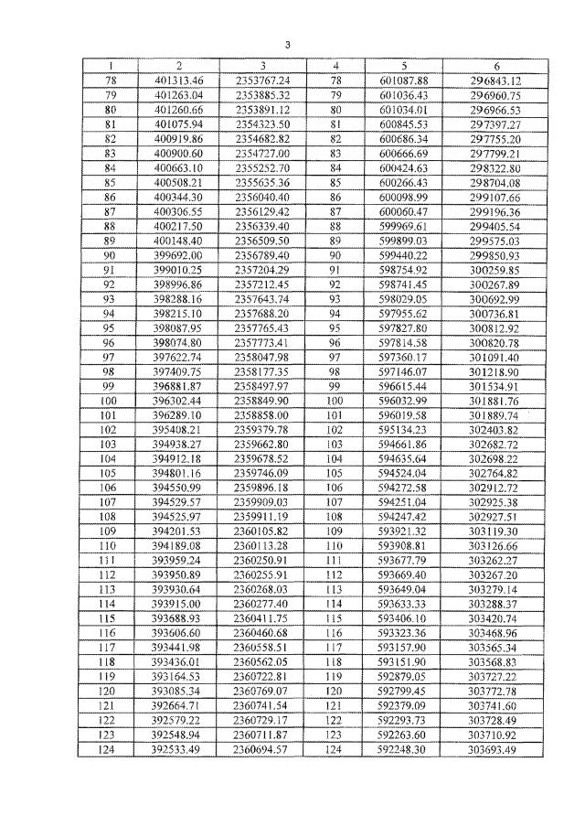
Закон Карачаево-Черкесской Республики от 27.12.2018 № 86-РЗ
"Об утверждении Соглашения об установлении границ между субъектами Российской Федерации: Краснодарским краем и Карачаево-Черкесской Республикой"
Номер опубликования: 0900201901040001
Дата опубликования: 04.01.2019
Страница №23 из 81:
Увеличить