Официальное опубликование правовых актов
ОФИЦИАЛЬНОЕ ОПУБЛИКОВАНИЕ
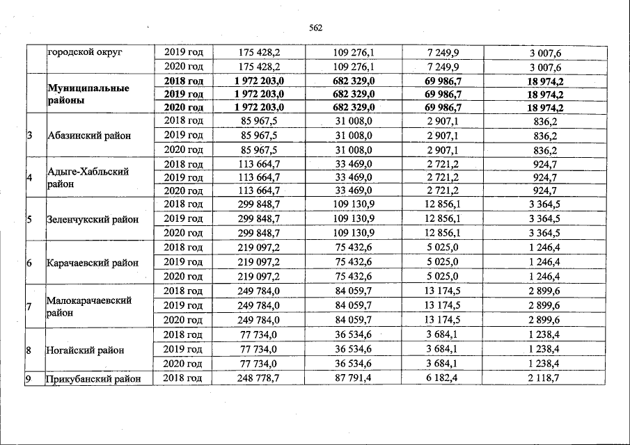
Закон Карачаево-Черкесской Республики от 25.12.2017 № 85-РЗ
"О республиканском бюджете Карачаево-Черкесской Республики на 2018 год и на плановый период 2019 и 2020 годов"
Номер опубликования: 0900201712270003
Дата опубликования: 27.12.2017
Страница №562 из 575:
Увеличить