Официальное опубликование правовых актов
ОФИЦИАЛЬНОЕ ОПУБЛИКОВАНИЕ
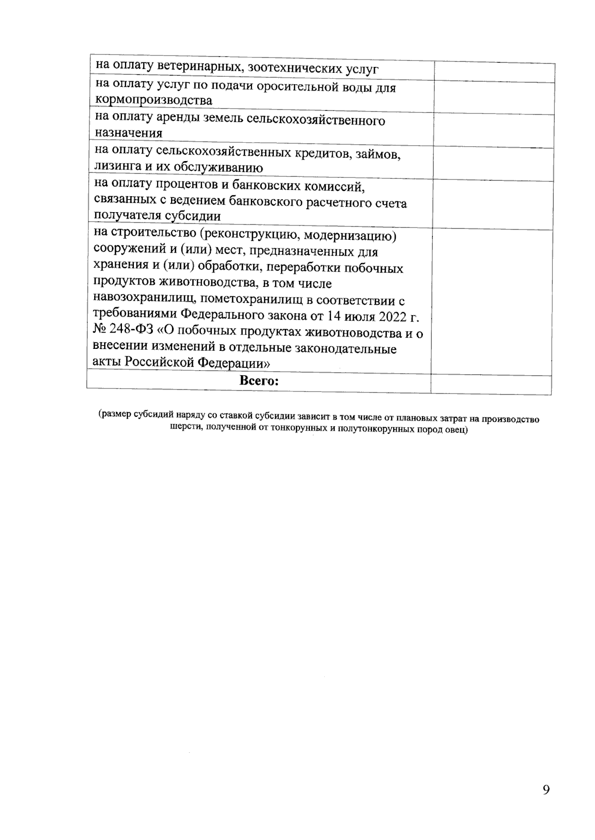
Приказ Министерства сельского хозяйства Республики Калмыкия от 06.02.2024 № 27-п
"О реализации в 2024 году постановления Правительства Республики Калмыкия от 31 мая 2021 г. № 214"
(Зарегистрирован 13.02.2024 № 24012028)
Номер опубликования: 0801202402160002
Дата опубликования: 16.02.2024
Страница №9 из 11:
Увеличить