Официальное опубликование правовых актов
ОФИЦИАЛЬНОЕ ОПУБЛИКОВАНИЕ
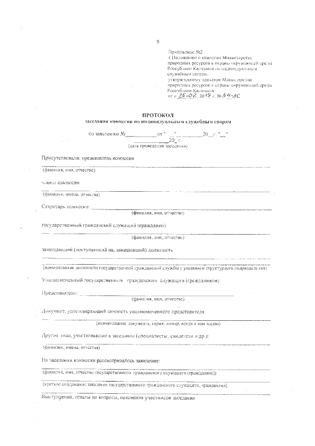
Приказ Министерства природных ресурсов и охраны окружающей среды Республики Калмыкия от 25.02.2019 № 54-лс
"Об утверждении Положения о комиссии Министерства природных ресурсов и охраны окружающей среды Республики Калмыкия по индивидуальным служебным спорам"
Номер опубликования: 0801201902270003
Дата опубликования: 27.02.2019
Страница №9 из 12:
Увеличить