Постановление Правительства Республики Калмыкия от 07.03.2025 № 67
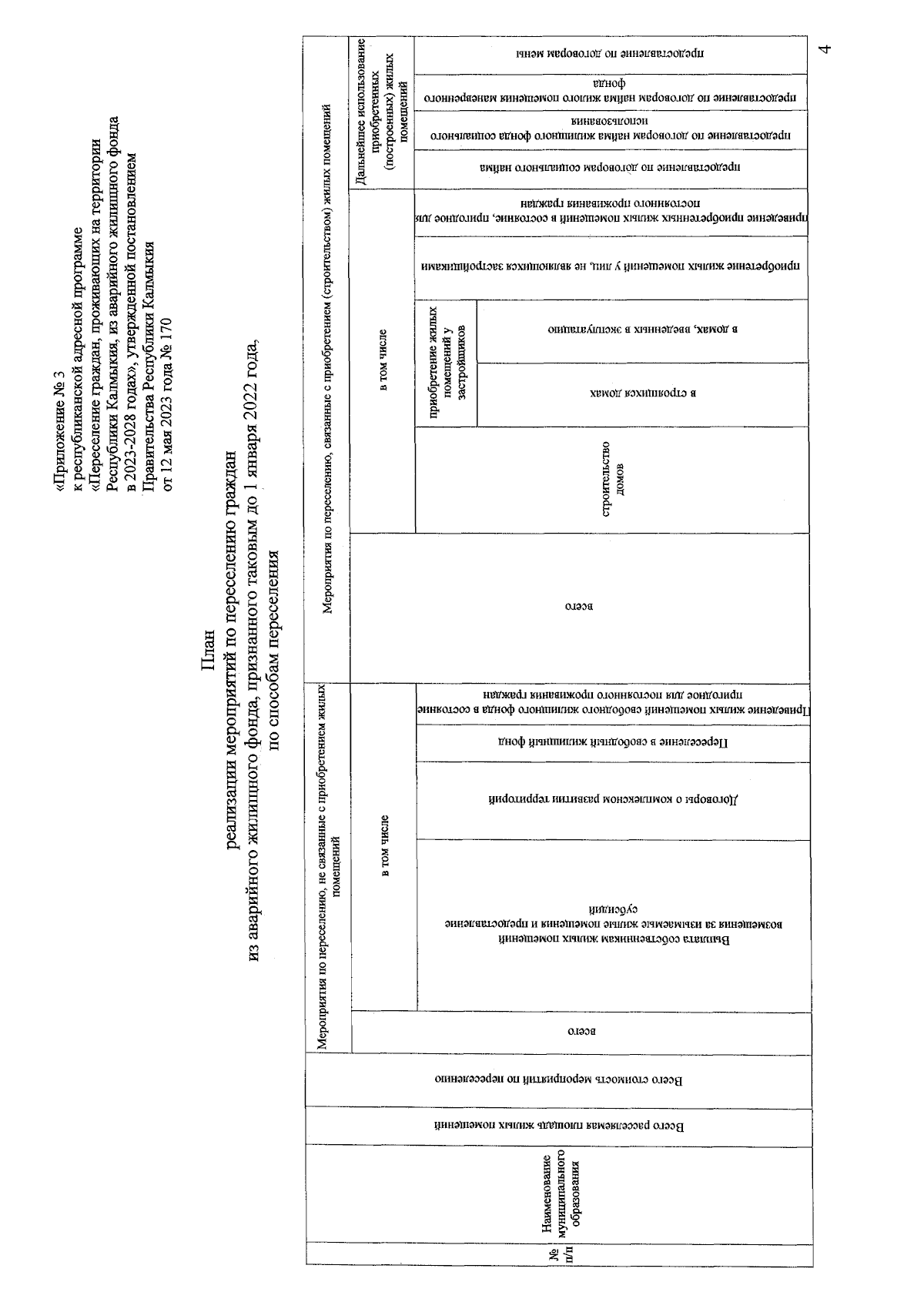
"О внесении изменений в республиканскую адресную программу "Переселение граждан, проживающих на территории Республики Калмыкия, из аварийного жилищного фонда в 2023 - 2028 гг.", утвержденную постановлением Правительства Республики Калмыкия от 12 мая 2023 г. № 170"
"О внесении изменений в республиканскую адресную программу "Переселение граждан, проживающих на территории Республики Калмыкия, из аварийного жилищного фонда в 2023 - 2028 гг.", утвержденную постановлением Правительства Республики Калмыкия от 12 мая 2023 г. № 170"
Номер опубликования: 0800202503110002
Дата опубликования:
11.03.2025
