Указ Главы Республики Калмыкия от 27.12.2024 № 314
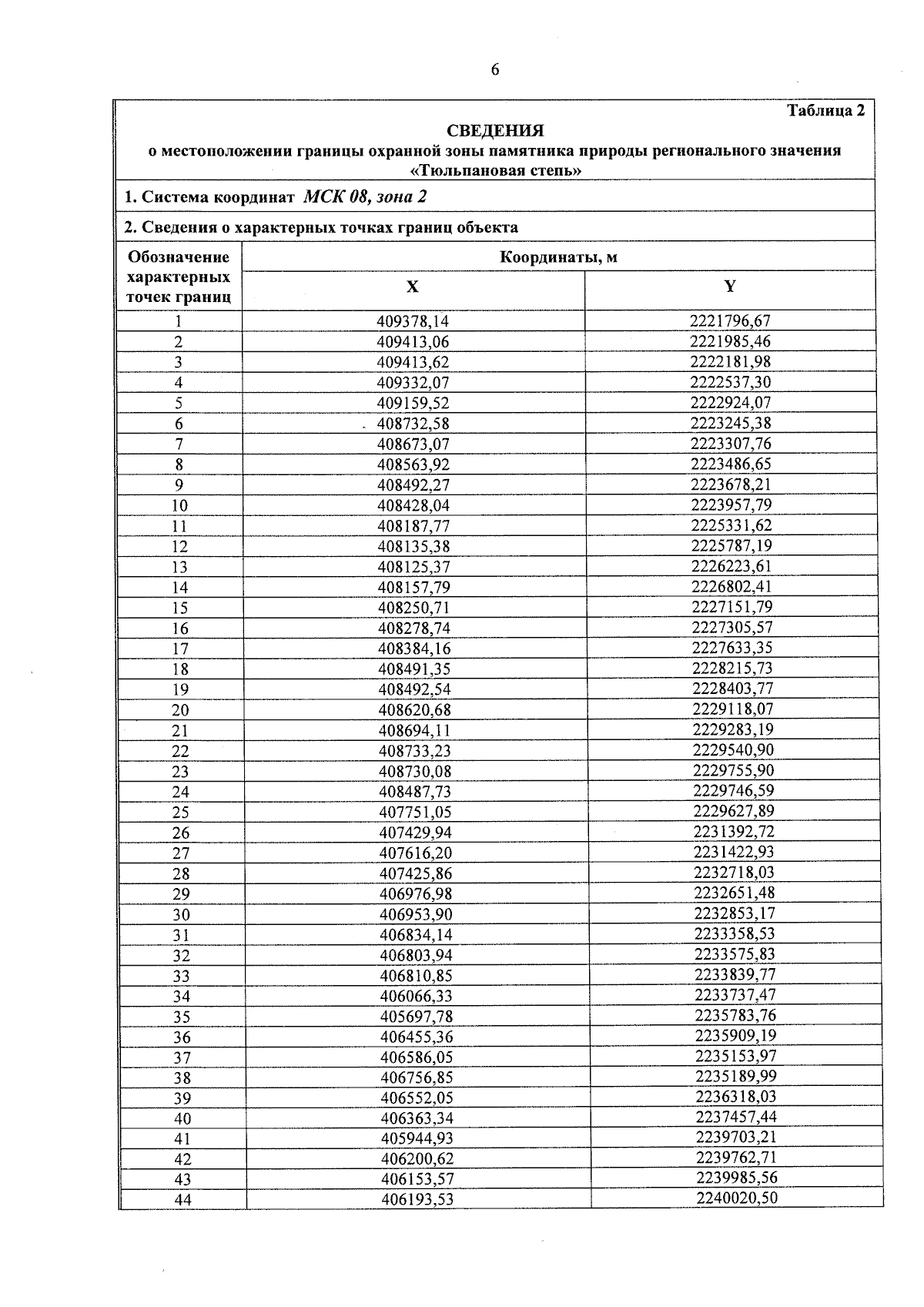
"Об охранной зоне памятника природы Республики Калмыкия "Тюльпановая степь"
"Об охранной зоне памятника природы Республики Калмыкия "Тюльпановая степь"
Номер опубликования: 0800202412280007
Дата опубликования:
28.12.2024
