Постановление Правительства Республики Калмыкия от 15.11.2024 № 316
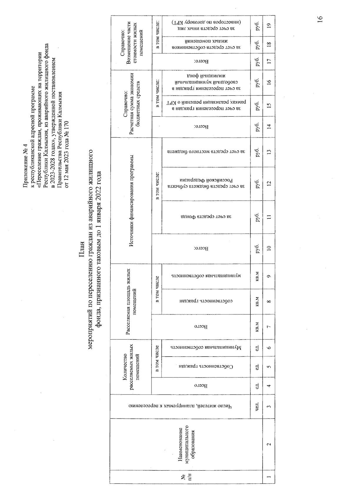
"О внесении изменений в республиканскую адресную программу "Переселение граждан, проживающих на территории Республики Калмыкия, из аварийного жилищного фонда в 2023 - 2028 гг.", утвержденную постановлением Правительства Республики Калмыкия от 12 мая 2023 г. № 170"
"О внесении изменений в республиканскую адресную программу "Переселение граждан, проживающих на территории Республики Калмыкия, из аварийного жилищного фонда в 2023 - 2028 гг.", утвержденную постановлением Правительства Республики Калмыкия от 12 мая 2023 г. № 170"
Номер опубликования: 0800202411220001
Дата опубликования:
22.11.2024
