Официальное опубликование правовых актов
ОФИЦИАЛЬНОЕ ОПУБЛИКОВАНИЕ
Постановление Правительства Республики Калмыкия от 12.03.2021 № 64
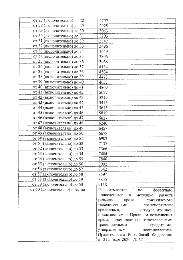
"Об определении размера вреда, причиняемого тяжеловесными транспортными средствами при движении по автомобильным дорогам регионального или межмуниципального значения"
Номер опубликования: 0800202103170007
Дата опубликования: 17.03.2021
Страница №3 из 7:
Увеличить