Официальное опубликование правовых актов
ОФИЦИАЛЬНОЕ ОПУБЛИКОВАНИЕ
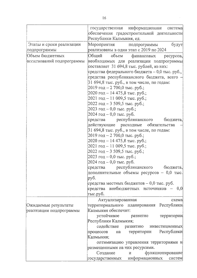
Постановление Правительства Республики Калмыкия от 15.04.2020 № 104
"О внесении изменений в Государственную программу Республики Калмыкия "Обеспечение доступным и комфортным жильем жителей Республики Калмыкия", утвержденную постановлением Правительства Республики Калмыкия от 29 декабря 2018 г. № 421"
Номер опубликования: 0800202004210006
Дата опубликования: 21.04.2020
Страница №16 из 90:
Увеличить