Официальное опубликование правовых актов
ОФИЦИАЛЬНОЕ ОПУБЛИКОВАНИЕ
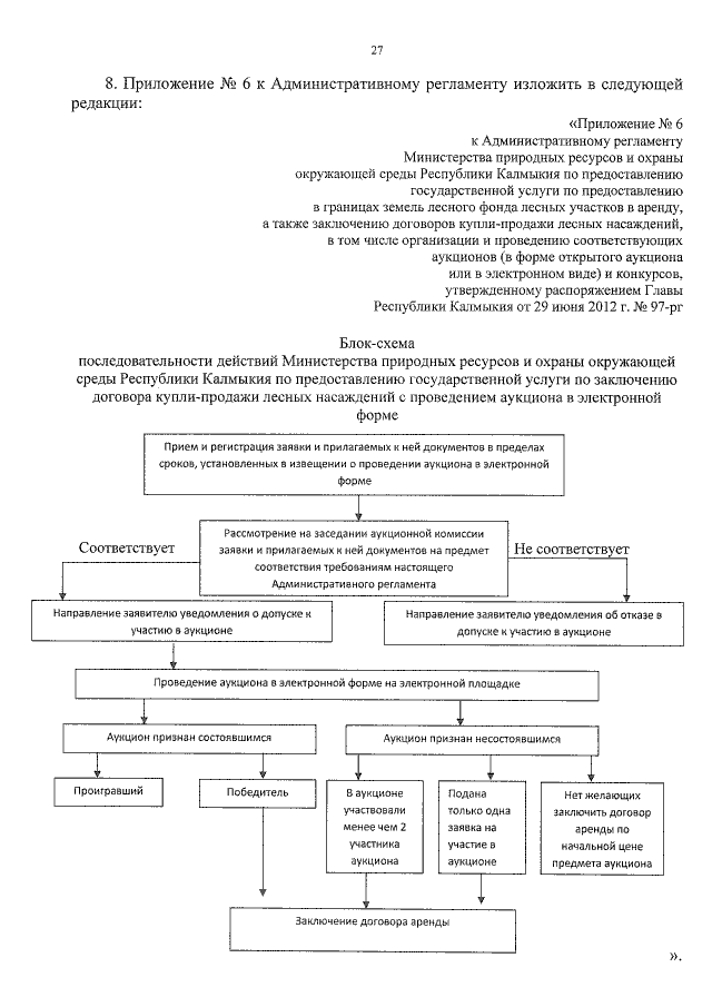
Распоряжение Главы Республики Калмыкия от 07.06.2018 № 110-рг
Номер опубликования: 0800201806090003
Дата опубликования: 09.06.2018
Страница №29 из 30:
Увеличить