Официальное опубликование правовых актов
ОФИЦИАЛЬНОЕ ОПУБЛИКОВАНИЕ
Постановление Правительства Республики Калмыкия от 23.08.2017 № 285
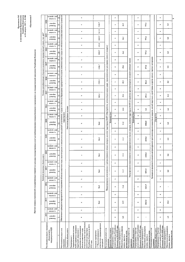
"О внесении изменений в Государственную программу Республики Калмыкия "Охрана окружающей среды на 2013 - 2020 годы", утвержденную постановлением Правительства Республики Калмыкия от 6 июня 2013 г. № 275"
Номер опубликования: 0800201708250001
Дата опубликования: 25.08.2017
Страница №8 из 15:
Увеличить