Постановление Правительства Республики Калмыкия от 12.04.2017 № 117
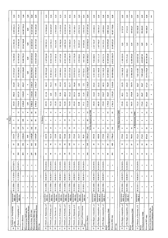
"О внесении изменений в республиканскую адресную программу "Переселение граждан, проживающих на территории Республики Калмыкия, из аварийного жилищного фонда в 2013 - 2017 гг.", утвержденную постановлением Правительства Республики Калмыкия от 30 апреля 2013 г. № 212"
"О внесении изменений в республиканскую адресную программу "Переселение граждан, проживающих на территории Республики Калмыкия, из аварийного жилищного фонда в 2013 - 2017 гг.", утвержденную постановлением Правительства Республики Калмыкия от 30 апреля 2013 г. № 212"
Номер опубликования: 0800201704190004
Дата опубликования:
19.04.2017
