Официальное опубликование правовых актов
ОФИЦИАЛЬНОЕ ОПУБЛИКОВАНИЕ
Постановление Правительства Республики Калмыкия от 29.12.2016 № 442
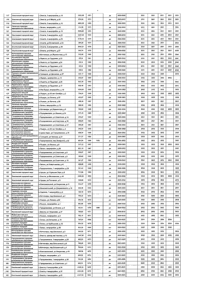
"О внесении изменений в региональную программу "Капитальный ремонт общего имущества в многоквартирных домах, расположенных на территории Республики Калмыкия, на 2014 - 2043 годы", утвержденную постановлением Правительства Республики Калмыкия от 30 декабря 2013 г. № 605"
Номер опубликования: 0800201701060009
Дата опубликования: 06.01.2017
Страница №4 из 17:
Увеличить