Официальное опубликование правовых актов
ОФИЦИАЛЬНОЕ ОПУБЛИКОВАНИЕ
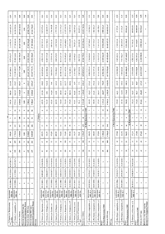
Постановление Правительства Республики Калмыкия от 18.12.2015 № 464
"О внесении изменений в республиканскую адресную программу "Переселение граждан, проживающих на территории Республики Калмыкия, из аварийного жилищного фонда в 2013-2017 гг.", утвержденную постановлением Правительства Республики Калмыкия от 30 апреля 2013 г. № 212"
Номер опубликования: 0800201512230002
Дата опубликования: 23.12.2015
Страница №6 из 10:
Увеличить